当前位置:首页检测中心基础知识 │ 风机水泵轴功率计算公式

风机水泵轴功率计算公式

  • 浏览次数:32374次
  • 发布时间:2014/11/26 14:21:44
  • 作者:hb_yinhe

  轴功率是指由原动机或传动装置传到风机或者水泵轴上的功率,本文列举风机和水泵的轴功率计算公式,供大家参考学习。

一.风机轴功率计算公式

  由原动机或传动装置传到风机轴上的功率,称为风机的轴功率,用P表示,单位为kW。
轴功率计算公式
  式中:Q---风机风量 (m3/s,Nm3/s);
         p---风机全压  (kg/m2);
         ηf-风机效率;
     “1/102” = g/1000----由kg.m/s 变换为kW的单位变换系数;
     ηr-传动装置效率;
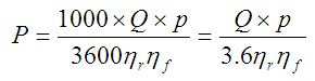
  1、若风量的单位用“m3/h”,风压的单位用“kg/m2”的话,则还要除以3600:
轴功率计算公式
  2、若风量的单位用“m3/s”,风压的单位用“MPa”的话,则:
轴功率计算公式
  3、若风量的单位用“m3/h”,风压的单位用“MPa”的话,则还要除以3600:
轴功率计算公式
  4、若风量的单位用“m3/s”,风压的单位用“kPa”的话,则:
轴功率计算公式

二、水泵轴功率计算公式

  由原动机或传动装置传到水泵轴上的功率,称为水泵的轴功率,用P表示,单位为kW:
轴功率计算公式      
式中:Q---水泵风量 (m3/s);
       H---水泵扬程  (m,P=ρgH ,);
       ρ---工质密度 (kg/m3
   ηr-传动装置效率;
       ηb-水泵效率;
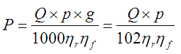
式中:“1/102”=g/1000----由kg.m/s 变换为kW 的单位变换系数。
因为水的密度为1000 kg/m3 ,所以水泵轴功率的计算公式可以简化为:
轴功率计算公式           
若流量的单位用“m3/h”,扬程的单位用“m”的话,则还要除以3600:
轴功率计算公式

三、轴功率的测量

  轴功率的测量一直采用扭矩传感器的方式进行,利用扭矩传感器测量电机的转速和扭矩,然后根据公式可以计算出轴功率。
  轴功率的计算公式为:  P=T*n/9550
式中:P功率,千瓦,kw;
   T扭矩,牛米,Nm;  
   n 转速,每分钟转数,r/min。 
   9550是常数。
  这是传统的测量轴功率的方式,由于采用扭矩仪需要专用的联接工装,电机不同或扭矩仪不同都可能导致需要重新制作联接工装,所以安装要求很高,安装不当也会导致测量精度降低甚至会损坏轴承,使用非常不方便。
  目前有另外一种根据电功率来测量轴功率的方式,其原理就是测量前端电机的输入功率以及电机损耗,而轴功率为电机输入功率减去电机损耗。这种通过电功率测量轴功率的方式改变了传统的扭矩测量方法,使得扭矩测量就如功率表测量电功率一样简单。由于不需要安装扭矩仪,使得系统安装使用非常简单,而且测量精度也大幅提高,广泛适用于风机、水泵等电机系统的扭矩测量。

Copyright 2010-2017 , All Rights Reserved 子夜无人免费观看 版权所有 湘ICP备09002592号-5