当前位置:首页检测中心基础知识 │ 功率分析仪计算公式大全

功率分析仪计算公式大全

  • 浏览次数:10298次
  • 发布时间:2013/12/23 15:11:53
  • 作者:AnyWay中国

  功率分析仪通常指适用于复杂变频电量测量分析的仪器,是功率表或功率计的升级换代产品。功率分析仪对传统的电压、电流和功率进行了重新定义。其测量参数除了传统功率表或功率计的电压、电流和功率外,还包括电压、电流的基波、谐波及各种谐波特征值。 
  本文罗列了适用于变频电量测量的功率分析仪的基础测量参量的相关计算公式,供功率分析仪研发及功率分析仪原理学习参考。
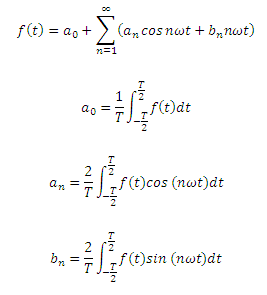
  周期信号的数学模型:
功率分析仪研发必备_周期信号数学模型
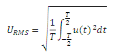
  功率分析仪电压真有效值计算公式:
功率分析仪研发必备_电压真有效值计算公式
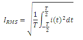
  功率分析仪电流真有效值计算公式:
功率分析仪研发必备_电流真有效值计算公式
  功率分析仪瞬时功率计算公式:
功率分析仪研发必备_瞬时功率计算公式
  功率分析仪有功功率计算公式:
功率分析仪研发必备_平均功率及有功功率计算公式
  注:当电压和电流均为正弦波时,下述公式成立:
功率分析仪研发必备_正弦电路有功功率计算公式
  其中,φ为电流滞后电压的角度。
  功率分析仪电压基波有效值及基波相位计算公式:
功率分析仪研发必备_基波电压有效值及相位计算公式
  功率分析仪电流基波有效值及基波相位计算公式:
功率分析仪研发必备_基波电流有效值及相位计算公式
  功率分析仪基波有功功率计算公式:
功率分析仪研发必备_正弦电路基波功率计算公式
  其中,φ1为基波电流滞后基波电压的角度。
  功率分析仪电压谐波幅值及相位计算公式如下:
功率分析仪研发必备_谐波电压有效值及相位计算公式
  功率分析仪电流谐波幅值及相位计算公式如下:
功率分析仪研发必备_谐波电流有效值及相位计算公式
  功率分析仪电压及电流总谐波畸变率计算公式:
功率分析仪研发必备_总谐波畸变率THD计算公式
  功率分析仪电压及电流总谐波因数计算公式:
功率分析仪研发必备_总谐波因数THF计算公式
  注:THD与THF的主要区别在于根号内的分母,THD可能大于1,而THF不会大于1。
  功率分析仪谐波电压因数计算公式:
功率分析仪研发必备_谐波电压因数HVF计算公式
  注:H=13,参见GB755-2008旋转电机 定额和性能。
  功率分析仪谐波电流因数HCF计算公式:
功率分析仪研发必备_谐波电流因数HCF计算公式
  注:H=13,参见GB755-2008旋转电机 定额和性能。需注意HCF与HVF形式上的不同。
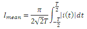
  功率分析仪电压校准平均值计算公式:
功率分析仪研发必备_电压校准平均值计算公式
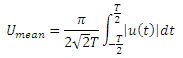
  功率分析仪电流校准平均值计算公式:
功率分析仪研发必备_电流校准平均值计算公式

Copyright 2010-2017 , All Rights Reserved 子夜无人免费观看 版权所有 湘ICP备09002592号-5