

幅值相等,相位依次差120°,称为正序分量;
幅值相等,相位依次差120°,相序与正序分量相反,称为负序分量;
幅值和相位均相等,称为零序分量。
将上述三组对称的三相相量相加,得到一组不对称的三相相量,不对称的三相相量的数学表达式为:
(1)
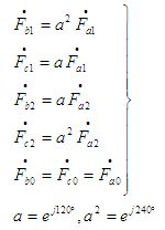
由对称性,参见图a、图b、图c,可知:
(2)
式(2)代入式(1)可得:
(3)
上式说明三个不对称的相量可以唯一地分解成为三组对称的相量,即对称分量:正序分量、负序分量和零序分量。
对称分量法常用于电力系统的三相不对称分析,国标《GB/T15543-2008 电能质量 三相电压不平衡》定义的三相电压不平衡度就是采用三相电压的负序分量与正序分量的比值或零序分量与正序分量的比值表示。WP4000变频功率分析仪依据国标要求,求解三相电参量的基波分量的三相不平衡度。为了简便运算,国际上还有另外一些相关标准对不平衡度计算采取其它的更为简化的运算方式。详细请参见银河百科:三相不平衡度。