当前位置:首页银河百科 │ THD

THD

  • 浏览次数:52602次
  • 发布时间:2013/9/22 11:30:53
  • 作者:hb_yinhe

THD(总谐波失真)概述

  THD是英文Total Harmonic Distortion的缩写,意为总谐波失真

  电学中,谐波是相对于基波而言的,一个频率为f1的正弦电压信号,施加在诸如整流器等非线性设备上,其电流信号发生失真,不再是纯正的正弦波。而是相当于频率为f1的正弦波(基波)与若干频率为f1的整数倍的正弦波(谐波)的叠加。这里的谐波,是引起电流信号失真的原因,这种现象,我们称为谐波失真。总谐波失真(THD)用于所有谐波引起的波形失真的程度。

  图1为六脉整流变频器的输入电压和电流波形,上方波形窗口中的电压波形为纯正的正弦波,而下方波形窗口中显示的电流波形已经发生了严重的谐波失真。谐波失真由非线性器件二极管导致,由于一个周波中,二极管开通6次,所以呈现六个脉冲波。

六脉整流变频器输入电流的发生严重的谐波失真

  图1.六脉整流变频器输入电流的发生严重的谐波失真


THD(总谐波失真)的定义

  不同标准对THD的定义不尽不同。

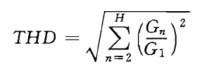
1、《电磁兼容试验和测量技术供电系统及所连设备谐波、谐间波的测量和测量仪器导则》中,对THD的定义如下:

  THD:不大于某特定阶数H的所有谐波分量有效值与基波分量有效值比值的方和根;

  子夜无人免费观看

  符号G表示谐波分量的有效值,它将按要求在表示电流时被I代替,在表示电压时被U代替,H的值在与限制有关的每一个标准中给出。按照上述定义,THD不包含间谐波,并且,有一固定的谐波上限。

2、《GB/T12668.2-2002调速电气传动系统 一般要求 低压交流变频电气传动系统额定值的规定》对THD定义如下:

  子夜无人免费观看

  上式中,Q为总有效值,Q1为基波有效值,可代表电压或电流,按照上述定义,THD包含间谐波和直流分量。

 

THD(总谐波失真)的测量

  从总谐波失真的计算公式可知,总谐波失真的数值与谐波次数的上限值H密切相关。一般的谐波测量设备如谐波分析仪等,大多适用于电网谐波测量,其上限值通常在40次以内。

  对于变频器等包含较高次谐波的谐波发射设备,测量总谐波失真需要采用可以测量更高次谐波的专用谐波检测仪器如:变频功率分析仪。此外,对于高电压、大电流系统,还需注意所用的传感器具有必要的带宽如:变频功率传感器

WP4000变频功率分析仪

 


Copyright 2010-2017 , All Rights Reserved 子夜无人免费观看 版权所有 湘ICP备09002592号-5