

在科学研究和工程实践中,经常需要对微小电阻进行测量,如马达的线圈电阻,继电器、开关等的接触电阻,超大功率发射机的接地电阻,飞机机体的电阻,开关柜中铜排的直流与交流电阻测量等。1Ω以上的电阻测量通常采用万用表就能较为准确地测量出来,但是对于微小电阻来说,接触电阻和导线电阻的阻值是无法忽视的,它们将会对微小电阻的阻值测量造成严重的影响,进而会导致微小电阻测量结果的较大误差,所以微小电阻的测量一直是个较大的难题。这些电阻由于阻值太小,导致检测到的信号十分微弱,而且还经常淹没在噪声之中,常规的测量方式很难测量出微小电阻的阻值。根据目前国内外对微小电阻的研究,比较成熟的微电阻测量方法主要有三种:大脉冲电流测量微电阻、直流恒流源测量微电阻和恒频交流电流源测量微电阻,其中基于恒频交流电流源的测量方法又可分为伏安法和相关法。功率分析仪可通过傅里叶分析提取导体两端的基波电压U、流过导体的电流基波I以及两者之间的相位差φ,故可通过下式来计算出导体的交流电阻RAC。

本文主要基于功率分析仪,利用式(1)对导体的微弱交流电阻测量技术进行研究。构建基于功率分析仪的微电阻测量系统,给出典型铜排的交流电阻测量结果以及某工业现场开关柜的交流电阻测量结果。
在微小电阻的测量中,由于其导线阻值和导体的阻值数量级上很接近,所以需要考虑到导线的电阻,在测量电路导线选材上,在测量中尽可能选择如镀银线这类导电率高的粗导线,以尽量消除导线电阻对测量的影响。双端测量等效电路如图1所示。

图1 双端测量等效电路
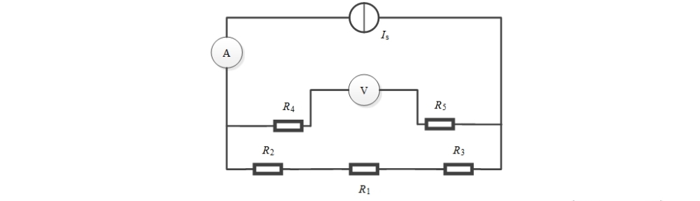
图1中,R1表示待测电阻;R2,R3表示接触电阻;R4、R5表示电压测量回路电阻。实际测到的回路电阻中包含待测电阻R1,接触电阻R2和R3,以及测量线电阻R4和R5,由于电压表内阻非常大,远大于待测电阻,在选取合适的测试线后将其等效于一个整体进行校准计量,所以其流过该电压测量回路的电流远小于R1的上面流过的电流,可以忽略不计,所以双端测量的电阻计算为(直流情况下):

由式(2)可知,采用双线测量的方式测量到的电阻包含该测量回路的接触电阻R2、R3,尤其是实际测量时,电流回路可能是使用螺栓、鳄鱼夹之类机械紧固件进行压接,加上接触面存在氧化等不干净程度导致其接触电阻较大,所以这种方式在测量微小电阻的情况下存在较大的误差。既然误差的来源为回路的接触电阻,首先需要将电压测量回路接到整体电流的机械安装接触点内,然后可以通过改变电压测量回路的测量取样点位置来尽量减少该测量误差:当测量点逐步靠近待测电阻时,测量的误差将逐步减少。此方法称为四端测量法,四端测量法如图2所示。

图2 四端测量等效电路
在四端测量中是将电压测量回路的取样点选取在尽量靠近待测电阻的位置进行电压取样。从而尽可能的减少导线及接触部分对电阻测量的影响,待测电阻阻值计算为(直流条件下):

以测量铜排为例,实际应用环境为微小电压和大电流的高精度同步测量,由于小信号易受工业现场的环境影响,所以考虑减少模拟量传输线路来保证测量精度。因此仪器选用湖南银河电气研制的WP4000变频功率分析仪及SP系列变频功率传感器组合搭建测试系统。分别对被测电阻为铜排的进行单相和三相测试,单相接线框图如图3所示,三相接线框图如图4所示。

图3 单相电路铜排交流电阻测量接线框图

图4 三相电路铜排交流电阻测量接线框图
图3和图4左边为WP4000变频功率分析仪,中间为SP系列变频功率传感器,两者通过光纤连接。实际测试时,可根据被测电压和电流的大小选择合适的一款SP变频功率传感器。鉴于一般功率分析仪仅针对自身进行标定,在搭配使用各类前端传感器时未对传感器、传输线路进行系统的标定,从而引入了更多的不确定度,而该套系统由于其前端数字化和光纤传输型式的技术特点,可进行整体测试系统的校准和计量,进一步提升测量的可信度。
基于上述测量系统,接入一个频率为50Hz的交流信号,测量该典型铜排在不同电流幅值下的电阻,测试结果如表1所示,不同电流幅值下的交流电阻变化如图5所示。
表1 该典型铜排在不同电流幅值下的交流电阻测试结果
| 序号 | 电流/A | 电压/mV | 相位差/° | 电阻/μΩ | 电感/μH | 有功功率/W |
| 1 | 50.50 | 34.11 | 85.33 | 55.00 | 2.14 | 0.14 |
| 2 | 100.13 | 67.85 | 85.28 | 55.75 | 2.15 | 0.56 |
| 3 | 150.72 | 102.33 | 85.14 | 57.51 | 2.15 | 1.31 |

图5 不同电流幅值下的交流电阻和电感变化
(a)交流电阻变化;(b)电感变化
从表1和图5可以看出,随着测试电流的增加:
(1)铜排的交流电阻RAC在增加;
(2)铜排的损耗(有功功率)P在增加;
(3)铜排的电感在缓慢增加,增加的速度小于交流电阻增加的速度,故相位差减小。
(1)开关柜中单相交流电阻的测试结果
将上述测量系统接在实际工业现场,对某开关柜进行实际测量,将设备接入到该开关柜的A相中,测量结果如表2所示,不同电流幅值下的交流电阻变化如图6所示。
表2 某开关柜单相测试结果
| 序号 | 电流/A | 电压/mV | 相位差/° | 电阻/μΩ | 电感/μH | 有功功率/W |
| 1 | 98.22 | 99.04 | 56.14 | 561.82 | 2.66 | 5.42 |
| 2 | 193.91 | 200.18 | 55.61 | 583.04 | 2.71 | 21.92 |
| 3 | 597.60 | 627.88 | 55.51 | 594.97 | 2.76 | 212.48 |

图6 不同电流幅值下的交流电阻和电感变化
(a)交流电阻变化;(b)电感变化
从表2和图6可以看出,开关柜中单相测试与上节中使用某典型铜排测试结果基本一致,随着测试电流的增加:
(1)开关柜单相交流电阻RAC在增加;
(2)铜排的损耗(有功功率)P在增加;
(3)铜排的电感在缓慢增加,增加的速度小于交流电阻增加的速度,故相位差减小。