

电能质量即电力系统中电能的质量,在现代电力系统中,由于大量的变频器的使用产生谐波导致的电压波形畸变,以及电压暂降、暂升和短时中断等,都成为很重要的电能质量问题。WP4000变频功率分析仪对电能质量的测量包括三相对称分析和谐波运算两大方面,比较概括的对电能质量对出了分析。
电压相间不平衡度Eu:
(4.34)
电流相间不平衡度Ei:
(4.35)
电压正序分量PSCu:
(4.36)
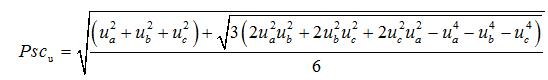
电压负序分量NSCu:
(4.37)
电流正序分量PSCi:
(4.38)
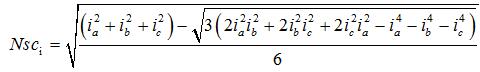
电流负序分量NSCi:
(4.39)
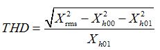
谐波失真THD(IEC标准)
(4.40)
谐波含量HC(DIN标准)
(4.41)
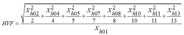
谐波电压因数HVF(国标)
(4.42)
波形畸变率K(国标)
(4.43)
电话谐波因数THF(国标)
(4.44)
变频电源的使用带来了很多电源使用方面的改革,变频节能也是目前最热门的话题,随着变频电源的发展,变频电源对电网的污染也不容忽视,传统的电能质量测试手段存在着一定的局限性,我们需要利用现代先进的测量技术得到准确的测量数据,实现对电能质量准确的把控,保障电力系统的安全可靠运行。
上一篇:什么是信号调理电路
下一篇:常用的电压传感器有哪几种?