当前位置:首页检测中心基础知识 │ 电动汽车超级电容主要参数及充放电时间常数确定

电动汽车超级电容主要参数及充放电时间常数确定

  • 浏览次数:15322次
  • 发布时间:2017/11/14 16:35:32
  • 作者:ly_yinhe

  超级电容是一种新型的电动汽车驱动能源存储设备,其优异的性能指标越来越受到行业的认可。工作电压、电流、时间常数等都是超级电容的主要参数。

电动汽车超级电容主要参数

01工作电压

  超级电容器能够连续、长期地保持最大电压。

02电流

  对超级电容器进行充电后,为使电容器在某一电压处于稳定状态而从外部施加的一个电流。

03时间常数

  如果一个超大容量电容器能够模拟为一个电容和一个电阻的简单串联组合,则该电容和电阻的乘积便为时间常数,其单位为s,相当于将电容器恒压充电至满充容量的63.2%时所需的时间。

04等效串联电阻

  当一个电容器被模拟为包括电感、电容、电阻的等效模拟电路时,其中的电阻部分即为等效串联电阻。等效串联电阻可以利用交流阻抗技术或电流阶跃技术测试得到。

05放电容量

  电容器在放电过程中可以放出的全部容量,具体计算方法是将放电过程中一个瞬间的电压与电流的乘积对放电时间进行积分。

06理想存储能量(电容器存储能量的理想值)

  对于一个简单的电化学电容器,其理想存储能量值可以通过E=0.5CU2w来计算,式中,C为电容器的容量;Uw为电容器的工作电压。

07平均放电功率

  平均放电电流和平均放电电压的乘积即为平均放电功率。

08最大输出功率

  指当为电容器外接一个合适的负载时,其可以达到的最大输出功率,计算公式为P=U2/(4R),式中,以为电容器的初始电压;R为电容器的等效串联电阻。

09放电效率

  在一个特定的充放电循环中,电容器放出的能量占充入的能量的百分比。

电动汽车超级电容充放电时间常数的确定

  超级电容作为一种高功率动力源,可大电流充放电,并且使用寿命比电池大得多,这使得其充放电效率对性能的发挥有着极其重要的影响。超级电容器组的时间常数是决定超级电容器组充放电效率的重要因素。超级电容器组的充放电时间主要取决于超级电容器组的充放电效率。

  假设电容组以恒定的电流充放电,经过时间t后,电容器组电量从Q1到Q2,相应的电压由U1到U2,则电容器组存储释放的能量E为:

a

  此时超级电容器组内阻R消耗的能量ER为:

b

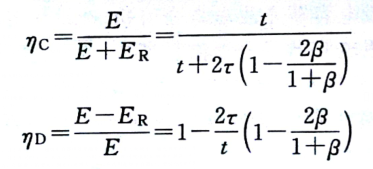
  定义时间常数r=RcC,β=U1/U2(充电)或β=U2/U1(放电),得到充电效率ηc和放电效率ηD为:

c

  可知,对于相同的r,超级电容器组效率随充放电深度增大而减小,随充放电时间t增大而增大。对于相同的β,ηC永远大于ηD;同时r越小,相同放电时间效率也越高,并且基本上接近,但随着r的增大,偏差迅速增大。所以在选用超级电容器时,要综合考虑充放电深度和时间的匹配关系,根据电容器的成本随时间常数的增大而增大的原则,在不影响使用的前提下,尽量选用时间常数小的电容器,此时电容器的充放电时间可以设计相等。


Copyright 2010-2017 , All Rights Reserved 子夜无人免费观看 版权所有 湘ICP备09002592号-5