

量程、线性度、灵敏度、迟滞、重复性、精度、分辨率、零点漂移、带宽等都是传感器的基本性能参数指标,在选用传感器时,这些基本的性能参数指标都是需要参考的,本文根据图例及计算公式对传感器的相关技术指标进行介绍。

量程是传感器的测量范围,是指测量上下极限之差的值。每个传感器都有自身的测量范围,被测量处在这个范围内时,传感器的输出信号才是有一定的准确性的,因此,量程也是用户选型时,第一关注的技术指标,根据被测量选择一款合适量程的传感器是极为重要的。
传感器的量程XFS、满量程输出值YFS、测量上限Xmax、测量下限Xmin的关系如上图所示。

传感器的线性度又称非线性误差,是指传感器的输出与输入之间的线性程度。理想的传感器输入-输出关系应该是线性的,这样使用起来才最为方便。但实际中的传感器都不具备这种特性,只是不同程度的接近这种线性关系。
实际中有些传感器的输入-输出关系非常接近线性,在其量程范围内可以直接用一条直线来拟合其输入-输出关系。有些传感器则有很大的偏离,但通过进行非线性补偿、差动使用等方式,也可以在工作点附近一定的范围内用直线来拟合其输入-输出关系。
选取拟合直线的方法很多,上图表示的是用最小二乘法求得的拟合直线,这是拟合精度最高的一种方法。实际特性曲线与拟合直线之间的偏差称之为传感器的非线性误差δ,其最大值与满量程输出值YFS的比值即为线性度γL。


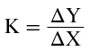
传感器的灵敏度是指其输出变化量ΔY与输入变化量ΔX的比值,可以用k表示。对于一个线性度非常高的传感器来说,也可认为等于其满量程输出值YFS与量程XFS的比值。灵敏度高通常意味着传感器的信噪比高,这将会方便信号的传递、调理及计算。


当输入量从小变大或从大变小时,所得到的传感器输出曲线通常是不重合的。也就是说,对于同样大小的输入信号,当传感器处于正行程或反行时,其输出值是不一样大的,会有一个差值ΔH,这种现象称为传感器的迟滞。
产生迟滞现象的主要原因包括传感器敏感元件的材料特性、机械结构特性等,例如运动部件的摩擦、传动机构间隙、磁性敏感元件的磁滞等等。迟滞误差γH的具体数值一般由实验方法得到,用正反行程最大输出差值ΔHmax的一半对其满量程输出值YFS的比值来表示。


一个传感器即便是在工作条件不变的情况下,若其输入量连续多次地按同一方向(从小到大或从大到小)做满量程变化,所得到的输出曲线也是会有不同的,可以用重复性误差γR来表示。
重复性误差是一种随机误差,常用正行程或反行程中的最大偏差ΔYmax的一半对其满量程输出值YFS的比值来表示。


在测试测量过程中,测量误差是不可避免的。误差主要有系统误差和随机误差这两种。
引起系统误差的原因诸如测量原理及算法固有的误差、仪表标定不准确、环境温度影响、材料缺陷等,可以用准确度来反映系统误差的影响程度。
引起随机误差的原因有:传动部件间隙、电子元件老化等,可以用精密度来反映随机误差的影响程度。
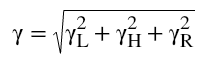
精度则是一种反应系统误差和随机误差的综合指标,精度高意味着准确度和精密度都高。一种较为常用的评定传感器精度方法是用线性度、迟滞和重复性这三项误差值得方和根来表示。

传感器的分辨率代表它能探测到的输入量变化的最小值。比如一把直尺,它的最小刻度为1mm,那么它是无法分辨出两个长度相差小于1mm的物体的区别的。
有些采用离散计数方式工作的传感器,例如光栅尺、旋转编码器等,它们的工作原理就决定了其分辨率的大小。有些采用模拟量变化原理工作的传感器,例如热电偶、倾角传感器等,它们在内部集成了A/D功能,可以直接输出数字信号,因此其A/D的分辨率也就限制了传感器的分辨率。
有些采用模拟量变化原理工作的传感器,例如电流传感器、电涡流位移传感器等,其输出为模拟信号,从理论上来讲它们的分辨率为无限小。但实际上,当被测量的变化值小到一定程度时,其输出量的变化值和噪声是处于同一水平的,已没有意义了,这也相当于限制了传感器的分辨率。

在传感器的输入量恒为零的情况下,传感器的输出值仍然会有一定程度的小幅变化,这就是零点漂移。引起零点漂移的原因有很多,比如传感器内敏感元件的特性随时间而变化、应力释放、元件老化、电荷泄露、环境温度变化等。其中,环境温度变化引起的零点漂移是最为常见的现象。

在实际应用中,大量的被测量是时间变化的动态信号,比如电流值的变化、物体位移的变化、加速度的变化等。这就要求传感器的输出量不仅要能够精确地反映被测量的大小,还要能跟得上被测量变化的快慢,这就是指传感器的动态特性。
从传递函数的角度来看,大多数传感器都可以简化为一个一阶或二阶环节,因此,通常可以用带宽来大概反映出其动态特性。如上图所示,在传感器的带宽范围内,其输出量的幅值在一定范围内有个小幅变化(最大衰减为0.707)。因此,当输入值做正弦变化时,通常认为输出值是可以正确反映输入值的,但是当输入值变化的频率更高时,输出值将会产生明显的衰减,导致较大的测量失真。
上一篇:基于虚拟仪器技术的光伏逆变器测试
下一篇:传感器的线性度参数指标简介