当前位置:首页检测中心基础知识 │ 风机性能试验简介

风机性能试验简介

  • 浏览次数:7651次
  • 发布时间:2017/5/5 14:50:30
  • 作者:ly_yinhe

  风机性能是指在一定的进气条件和转速时,风机的效率、功率、全压等参数与流量的关系,下面本文对风机性能试验相关试验项目及计算进行介绍。

风机性能试验标准依据

  风机性能试验一般参照以下标准要求执行,具体情况可根据自身技术要求或现场条件进行调整。

  GB/T3235通风机基本型式、尺寸参数及性能曲线

  GB/T 10178工业通风机现场性能试验

  GB/T 1236通风机空气动力性能试验方法

风机性能试验相关试验项目及计算

  风机性能试验是测定风机在工作条件下的流量、压力、功率和转速等参数,以确定其性能,并为风机改造和经济运行提供可靠数据支撑。

01流量(风量)测定

  风机流量是指单位时间内通过风机进口的气体体积。一般我们可以通过测量管路中气体的动风压来确定风量的大小。

  在管路中的适当位置(必须使气体流动的稳定管段)安装一个测量动压头的装置——皮托管。假设皮托管测得的动风压为Pd,测量中,动风压常用水柱的高度hd表示:

a

b

  则有:c

  所以: 若假设测量位置的管径为D

  则有:

d

  另外,测量风量我们还可以用孔板流量计,对于孔板流量计的原理这里略去。下面直接给出计算公式:

e

  或者:

f

  式中:

  R:U型压差计的读书,m;

  ρr:压差计中指示液的密度,kg/m³;

  ρ:被测液体密度,kg/m³;

  C0:孔流系数;

  S0:孔口面积。

02全压和静风压确定

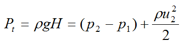
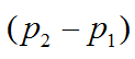
  风机的风压是指单位体积的气体流过风机时获得的能量,以Pt表示,单位为J/m³=N/㎡,由于Pt的单位与压力的单位相同,所以称为风压。

  用下标1,2分别表示进口与出口的状态。在风机的吸入口与压出口之间,列柏努力方程:

g

  对于气体,式中ρ(气体密度)值比较小,故h 可以忽略;因进口管段很短,i 也可以忽略。当空气直接由大气进入通风机,则j 也可以忽略。因此,上述的柏努力方程可以简化成:

l

  上式中m 称为静风压,可以通过风机出口出的静压管测得,以Pst表示。n 称为动风压,可以通过管路中安装的皮托管测量得到,用Pd表示。风机出口处气体流速比较大,因此动风压不能忽略。风压为静风压和动风压之和,又称为全风压或全压。风机性能表上所列的风压指的就是全风压。

03风机的有效功率和功率

  由于风机在运转过程中存在种种能量损失,使得风机的实际风压比理论风压值要低,而输入风机的功率要比理论值高,所以风机的总效率可以表示为:

o

  其中p 为风机的有效功率:

q

  r为电机输入风机的功率:

s

  以上各式中:

  Q:风量,[m3/h]

  Pt:全风压,[N/m2]

  K:用标准功率机校正功率标的校正系数,这里取1.0

  N电:电机的输入功率,[kw]

  η电:电机效率,通常取0.90

  η传:传动装置的传动效率,一般取1.0

04特性曲线

  流体流经风机时,不可避免的会遇到种种流动阻力,产生能量损失。由于流动的复杂性,这些能量损失无法从理论上作出精确计算,也因此无法从理论上求得实际风压的数值。因此,一定转速下的风机的Pt—Q,Pst—Q,N—Q,η—Q,ηst—Q之间的关系,即特性曲线,也是试验中极为重要的项目内容。试验中根据要求,采集记录相关试验数据,由试验软件直接生成特性曲线。


Copyright 2010-2017 , All Rights Reserved 子夜无人免费观看 版权所有 湘ICP备09002592号-5