当前位置:首页检测中心基础知识 │ 采用伏安法进行直流电阻测量的接线方式简介

采用伏安法进行直流电阻测量的接线方式简介

  • 浏览次数:8941次
  • 发布时间:2017/3/2 17:36:24
  • 作者:czy_yinhe

  伏安法测电阻是电学中典型的实验之一,本文详细描述采用伏安法进行直流电阻的测量方法以及比较。

电阻测量常见接线方式

  在电路中对于直流电阻的测量经常采用伏安法进行测量,伏安法测量电阻有内接法和外接法,其连线方式分别如图1和图2所示。

外接法

图1 外接法

内接法

图2 内接法

电阻测量常见接线方式误差分析

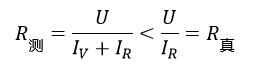
  分别用R、R表示被测电阻的测量值和真实值RV、RA表示电压表和电流表的内阻,当按照图1外接法的方式对电阻进行测量的时候,被测电阻为:

子夜无人免费观看

  由于电压表的分流作用使得被测电阻值小于电阻的真实值,当电压表内阻越大的时候其分流作用越弱,被测电阻值就越接近真实值。

  当按照图2内接法对电阻进行测量的时候,被测电阻为:

子夜无人免费观看

  由于电流表的分压作用使得被测电阻值大于电阻的真实值,当电流表的内阻越小的时候其分压越小,被测电阻值就越接近真实值。

电阻测量常见接线方式选择依据

  根据上面的分析可知,选择合理的接线方式可以有效地减小测量误差。

  如果有先验知识,知道被测电阻的阻值大致范围和电压表、电流表的内阻,可以采用如下判定规则选取接线方式:

  1、当RV≥200R时,采用外接法;当R≥200R 时,采用内接法。

  2、当RV、RA和R不满足判据1时,采用如下判定规则:

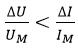
  当子夜无人免费观看时(即 为大电阻),采用内接法;

  当子夜无人免费观看 时(即 为小电阻),采用外接法;

  当子夜无人免费观看 时采用内、外接法均可;

  3、当RV、RA和R未知时,此时可以用试触法进行判定:

 图3 试触法

图3 试触法

  首先将电压表接于M点,测出此时的电压 和电流 ;然后将电压表接于N点,测出此时的电压UN和电流IN,算出电压变化量子夜无人免费观看和电流变化量 。

  当子夜无人免费观看,说明电流表内阻带来的影响比较大,此时用外接法;

  当子夜无人免费观看时,说明电压表内阻带来的影响比较大,此时用内接法。


Copyright 2010-2017 , All Rights Reserved 子夜无人免费观看 版权所有 湘ICP备09002592号-5