

直流高压高阻箱是一种重要的工作计量器具,一般用于绝缘电阻表(兆欧表)、电子式绝缘电阻表和高阻计的检定、校准和测试,是绝缘电阻表、电子式绝缘电阻表和绝缘高阻计进行量值溯源的计量标准器。下面本文主要根据直流高压高阻箱检定规程介绍其精度要求及检定操作的相关内容。
直流高阻箱主要是绝缘电阻表(兆欧表)检定的标准电阻器,一般由若干个十进制盘构成,每个十进制盘由等值的单值电阻器和步进开关组成,一般最小步进电阻为100Ω,最大步进电阻为10GΩ。在参考条件下,高阻箱每个十进制盘有各自相应的准确度等级。
直流高压高阻箱各十进盘相应准确度等级和最大运行误差应符合下表1的规定:

表1:准确度等级和最大运行误差
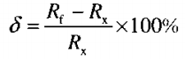
高阻箱的示值误差用相对误差表示见下式1:
…………1
式中:
δ——高阻箱示值的相对误差,%;
Rx——所测得的电阻实际值;
Rf——所测点的电阻标称值。
直流高压高阻箱检定在参考实验室温度为(20±3)℃,相对湿度为30%~70%条件下进行。检定高阻箱时采用直流高压高阻电桥装置或高阻检定仪作工作标准。
检定时要求由工作标准及环境条件等引起的扩展不确定度U(k=2)应不大于被检高阻箱相应最大运行误差的1/3。且检定装置重复测量的标准差应不大于被检高阻箱相应最大运行误差的1/15,检定装置中有灵敏度引起的误差应不大于被检高阻箱相应最大运行误差1/10。
同时,对直流高压高阻箱检定时由于连接电阻、绝缘泄露、静电感应、电磁干扰、零电流等因素引起的误差要求不大于被检高阻箱相应最大运行误差的1/20。
直流高压高阻箱的基本误差在额定参考条件下进行,根据被检高阻箱的准确度等级,一般可采用高压高阻电桥装置或高阻检定仪进行直接测量。
检定时施加于被检高阻箱的电压应为其标称使用电压;当检定以额定电流给出的小阻值测量盘时,所施加的电压要求为检定第一点通过额定电流时所对应的电压。
检定时电流对高阻箱要有足够的作用时间,使电阻值达到稳定状态,要求其阻值变化每分钟不大于被测电阻运行误差的1/20。但稳定时间不得超过5min。
被检高阻箱电阻值按下式计算:

式中:
Rx——被检高阻箱的电阻实际值;
Ax——测量仪器示值。
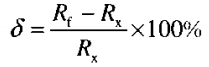
被检高阻箱的示值误差用相对误差表示,采用下式计算:

式中:
δ——高阻箱示值的相对误差,%;
Rx——所测得的电阻实际值;
Rf——所测点的电阻标称值。
高阻箱检定时,而也可采用经认证的保证满足检定扩展不确定度U(k=2)要求的其他方法。
上一篇:机电式交流电能表误差检定
下一篇:转速测量方法