

01一般检查(目测)
主要检查充电机外壳有无凹凸、划伤等缺陷;结构件是否牢固,有无毛刺、锈迹、裂纹等;所有铭牌标示是否正确安装、内容是否正确、字迹是否清晰。
02输出电压误差试验
充电桩连接负载,设定恒压状态运行,输入额定电压,设置输出电压在输出电压范围内,调整负载输出电流为50%额定电流,分别测量充电桩输出电压Uz。输出电压误差不应超过±0.5%。
测得的输出电压误差按下列公式计算:

式中:
△U——输出电压误差;
Uz——交流输入电压为额定值且负载电流为50%的额定输出电流时,输出电压的测量值;
Uz——设定的输出电压整定值。
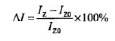
03输出电流误差试验
充电桩连接负载,设置在恒流状态下运行,输入电压设定为额定值,设定输出电流在20%~100%额定输出电流范围内,调整输出电压在上、下限范围内的中间值,分别测量充电桩的输出电流Iz。在充电桩设定的输出电流整定值≥30A时,输出电流误差不应超过±1%;在充电桩设定的输出电流整定值<30A,输出电流误差不应超过±0.3A。
测得输出电流误差按下列公式计算:

式中:
△I——输出电流误差;
Iz——交流输入电压为额定值且输出电压在上、下限范围内的中间值时,输出电流的测量值;
Iz0——设定的输出电流整定值。
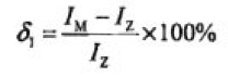
04稳压精度试验
充电桩连接负载,并设置在恒压状态下运行,设定输出电压整定值,调整输入电压分别在85%、100%、115%额定值时,调整负载电流为0~100%额定输出电流值,分别测量充电机的输出电压,找出上述变化范围内充电机输出电压的极限值UM。在上、下限范围内改变输出电压整定值,多次测量。稳压精度不应超过±0.5%。
测得稳压精度按下式计算:

σu——稳压精度;
Uz——交流输入电压为额定值且负载电流为50%的额定输出电流,输出电压的测量值;
UM——输出电压的极限值。
05稳流精度试验
充电桩连接负载,设置于恒流状态运行,设定输出电流整定值,调整输入电压分别在85%、100%、115%额定值时,调整输出电压在上、下限范围内,分别测量充电机输出电流值,找出上述变化范围内充电电流极限值IM。在20%~100%额定输出电流值范围内改变输出电流的整定值,多次试验。稳流精度不应超过±1%。
测得的温流精度按下列公式计算:

式中:
σI——温流精度;
Iz——交流输入电压为额定值且输出电压在上、下限范围内的中间值,输出电流的测量值;
IM——输出电流的极限值。
06纹波系数试验
充电桩连接电阻负载,设置恒压状态下运行,设定输出电压整定值,调整输入电压分别为85%、100%、115%额定值时,调整负载电流为0~100%额定输出电流值,分别测量直流输出电压、输出电压的交流分量峰-峰值和有效值。在上下限范围内改变输出电压整定值,重复上述测量。纹波系数试验用示波器要求:带宽20MHz,水平扫描速度0.5s/DIV。纹波峰值系数不应超过1%,输出纹波有效值系数不应超过0.5%。
纹波系数按下列公式计算:


式中:
Xrms——纹波有效值系数;
XPP——纹波峰值系数;
Urms——输出电压交流分量有效值;
UPP——输出电压交流分量峰-峰值;
UDC——直流输出电压平均值。
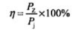
07效率试验
充电桩连接负载,设置在恒压输出状态,输入额定电压,设定是输出电压整定值为上限值,调整负载电流为50%~100%额定输出电流值,测量充电桩的输入有功功率和输出功率;调整充电桩在恒流状态下运行,输入额定电压,设定输出电流整定值为额定值,在上、下限范围内改变输出电压整定值,再次测量充电桩的输入有功功率和输出功率。当充电桩输出功率为额定功率的50%~100%,效率不应小于90%。
充电效率按下列公式计算:

式中:
η——效率;
Pz——直流输出功率;
Pj——交流输入有功功率。
08功率因数试验
充电桩连接负载,设置工作于恒压状态,输入额定电压,设定输出电压整定值为上限值,调整负载电流为50%~100%额定电流输出值,测量充电机的输入功率因数;调整充电机在恒流状态下运行,输入额定电压,设定输出电流整定值为额定值,在上、下限范围内改变输出直流电压整定值,再次测量充电桩的输入功率因数。当充电桩输出功率大于额定功率的50%时,功率因数不应小于0.9,当充电机输出额定功率时,功率因数应满足GB/T 29316-2012中表2的要求。
09限压特性试验
充电桩连接负载,设置工作在恒流状态,调整负载使输出电压增加,当输出电压超过整定值时,充电桩应能自动降低输出电流值,从而限值输出直流电压的增加;当输出电压回调到整定值以下时,充电机恢复恒流状态运行。
10限流特性试验
充电桩连接负载,并设置在恒压状态下运行,调整负载使输出电流增加,当输出电流超过整定值时,充电桩应能自动降低输出电压值,从而限值输出直流电流的增加;当输出电流回调到整定值以下时,充电机恢复恒压状态运行。
11显示功能试验
充电桩连接上位机管理系统,进行启停操作,在各种状态下,检查充电桩的显示功能。充电桩能显示相关信息,显示字符清晰、完整,没有缺损。
12输入功能试验
手动设置充电机充电参数,检查充电桩是否正确响应。
13通信功能试验
充电桩与上位机、电子负载系统通讯,充电桩在充电过程中,应能随时响应上级监控系统数据召唤和远程控制,即时获得充电参数和充电实时数据。
14协议一致性试验
通过模拟充电桩与电池管理系统的协议一致性测试,充电桩通讯协议应满足NB/T 33003规定要求。
15输入过压保护试验
充电桩连接负载,并设置在额定负载状态下运行。调整输入电源电压超过输入过压保护动作值时,充电桩输入过压保护应启动,立即切断直流输出并发出告警提示。输入过压保护动作值不应低于115%额定输入电压。
16输入欠压保护试验
充电桩连接负载,并设置在额定负载状态下运行。调整输入电源电压低于输入欠压保护动作值时,充电机输入欠压保护应启动,立即发出告警提示。输入欠压保护动作值不应高于85%额定输入电压。
17输出过压保护试验
整定输出过压保护动作值,认为模拟充电桩输出过压故障,充电桩应立即切断直流输出并发出告警提示。
18输出短路保护试验
充电桩连接负载,并设置在额定负载状态下运行。短接充电机的直流输出端,充电桩应自动进入恒流输出状态或切断直流输出,并发出告警提示。
19绝缘接地保护试验
整定绝缘接地保护定值,模拟充电桩直流输出发生接地故障或绝缘水平下降到绝缘接地保护定值,充电机应能立即切断直流输出,并发出告警提示。
20冲击电流试验
充电桩连接额定负载,启动充电桩输出,用示波器或数据记录仪检测充电桩输入峰值电流,充电桩峰值电流不应超过额定输入电流的110%。
21软启动试验
充电桩连接额定负载,启动充电桩输出,用示波器或数据记录仪检测输出电压变化曲线,输出电压从开始上升至额定稳定时的变化时间应为3S~8S。
22电池反接试验
模拟动力蓄电池与充电桩输出正、负反置,启动充电桩输出,充电桩应闭锁直流输出并发出告警提示。
23连接异常试验
充电机连接负载,将充电连接装置中的连接确认触头或通信触头断开,进行充电操作,充电桩应闭锁直流输出,充电桩设置在额定负载下运行,充电连接装置中的确认触头或通信触头断开,检查充电桩应立即切断直流输出并发出告警提示。
24急停功能试验
充电桩连接负载,并设置在额定负载状态下运行,按急停按钮,充电桩应立即切断直流输出。
25控制导引试验
采用GB/T 20234.3-2011中附录A控制导引电路的充电桩,按照标准或客户要求进行控制导引试验。
26噪声试验(需要噪声测试仪)
充电桩连接负载,并设置在额定负载状态下稳定运行。在背景噪声不大于40DB的条件下,距充电桩前、后、左、右水平位置1米处,距地面高度1米~1.5米处测量噪声,测得的噪声最大值不应大于65DB。
27温升试验
充电桩设置在额定负载状态下稳定运行,输入额定电压,安装各测点被测元件,使各发热元件的温度逐渐升至热稳定,热稳定的定义参见GB/T 2421.1-2008中4.8的规定,温升试验应满足下表1所示:

表1:充电转内部各部件极限温升
28电击防护试验(需配置接地电阻测试仪)
采用直流电桥、接地电阻试验仪或数字式低阻试验仪测量,充电桩内任意应该接地的点至总接地之间的电阻不应大于0.1Ω,测量点不应少于3个,如果测量点涂覆防腐漆,需将防腐漆刮去,露出非绝缘材料后在进行试验,接地端应有明显标志。
29电气间隙和爬电距离(手工测量)
用钢尺或其他测量工具测量充电机规定部位的最小间隙应满足下表2规定要求:

表2:电气间隙和爬电距离限值
30绝缘电阻试验(需配置绝缘电阻测试设备)
充电桩非电气连接的各带电回路之间、个独立带电回路与地(金属外壳)之间按下表3规定施加直流电压,绝缘电阻不小于10MΩ。

表3:绝缘试验试验等级
31介电强度试验(需配置介电强度试验设备)
充电桩非电气连接的各带电回路之间,各独立带电回路与地(金属外壳)之间按表3规定施加1min工频交流电压(也可采用直流电压,试验电压为交流电压有效值的1.4倍),试验时,充电桩泄露电流值不应大于10mA,试验部位不应出现绝缘击穿或闪络现象。
32冲击耐压试验(需配置冲击耐压试验设备)
在充电桩非电气连接的各带电回路之间、各独立带电回路与地(金属外壳)之间按表3规定施加3次正极性和3次负极性标准雷电波的短时冲击电压,每次间隙不小于5S,脉冲波形1.2/50us,电源阻抗500Ω,试验时其他回路和外露的导电部分接地,试验过程中,试验部位不应出现击穿放电,允许出现不导致损坏绝缘的闪络,如果出现闪络,则应复查介电强度,介电强度试验电压为规定值的75%。
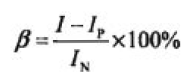
33均流不平衡度试验(并联模块运行充电桩测试项目)
采用模块并联运行的充电机应进行均流不平衡试验,充电桩连接负载,并设置在恒压状态下运行,输入额定电压,设定输出电压整定值,调整负载电流为50%~100%额定电流输出值,分别测量各模块输出电流。在上、下限范围内改变输出直流电压整定值,重复上述测量。断开充电桩任一个模块电源后,再次重复上述测量。均流不平衡试验需要不少于4台的并联运行模块。均流不平衡度不应超过±5%。
均流不平衡度按照下列公式计算:

式中:
β——均流不平衡度;
I——实测模块输出电流的极限值;
IP——N个工作模块输出电流的平均值;
IN=模块额定电流值。
上一篇:热电偶和热电阻的差别
下一篇:交流充电桩试验项目