当前位置:首页检测中心基础知识 │ 巴特沃斯滤波器的特性

巴特沃斯滤波器的特性

  • 浏览次数:21506次
  • 发布时间:2015/8/10 17:28:11
  • 作者:ljl_yinhe

  巴特沃斯(Butterworth)滤波器属于低通滤波器的一种,通过低频信号而衰减或抑制高频信号,在通频带内具有最大平坦幅度响应曲线,它在通信领域里已有广泛应用,在电测中也具有广泛的用途,可以作检测信号的滤波器

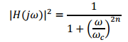
  巴特沃斯低通滤波器的平方幅度响应为:

子夜无人免费观看

  其中,n为滤波器的阶数,子夜无人免费观看为低通滤波器的截止频率。该滤波器具有一些特殊的性质:

1、对所有的n,都有当子夜无人免费观看时,子夜无人免费观看

2、对所有的n,都有当子夜无人免费观看时,子夜无人免费观看,即在子夜无人免费观看处有3dB的衰减;

3、子夜无人免费观看子夜无人免费观看的单调递减函数,即不会出现幅度响应的起伏;

4、当子夜无人免费观看时,巴特沃斯滤波器趋向于理想的低通滤波器;

5、在子夜无人免费观看处平方幅度响应的各级导数均存在且等于0,因此子夜无人免费观看在该点上取得最大值,且具有最大平坦特性。

  图1展示了不同阶巴特沃斯低通滤波器的幅频特性。可见阶数n越高,其幅频特性越好,低频检测信号保真度越高。

巴特沃斯滤波器幅频特性

图1 巴特沃斯滤波器幅频特性

  巴特沃斯与贝塞尔(Bessel)、切比雪夫(Chebyshev)滤波器的幅频特性、相位特性如图2、图3所示。

巴特沃斯、贝塞尔、切比雪夫滤波器幅频特性

图2 巴特沃斯、贝塞尔、切比雪夫滤波器幅频特性

巴特沃斯、贝塞尔、切比雪夫滤波器相位特性

图3 巴特沃斯、贝塞尔、切比雪夫滤波器相位特性

  从图2、图3可以看出,巴特沃斯滤波器在线性相位、衰减斜率和加载特性三个方面具有特性均衡的优点,因此在实际使用中巴特沃斯滤波器已被列为首选。


Copyright 2010-2017 , All Rights Reserved 子夜无人免费观看 版权所有 湘ICP备09002592号-5